大数据与人工智能安全研究团队的论文“Enhancing Transferability of Adversarial Examples through Mixed-Frequency Inputs”在IEEE Transactions on Information Forensics and Security (TIFS)发表。该期刊同时为中科院1区TOP,中国计算机学会(CCF)A类期刊,中国密码学会(CACR)A类期刊,清华大学A类期刊,是信息安全领域最具影响力的国际顶级刊物之一。论文以我校为第一单位,钱亚冠教授为第一作者,22级研究生陈科成为第二作者,与全省智能物联网络与数据安全重点实验室、浙江大学、哈尔滨工业大学、西安交通大学、澳洲维多利亚大学等单位的研究人员合作完成。
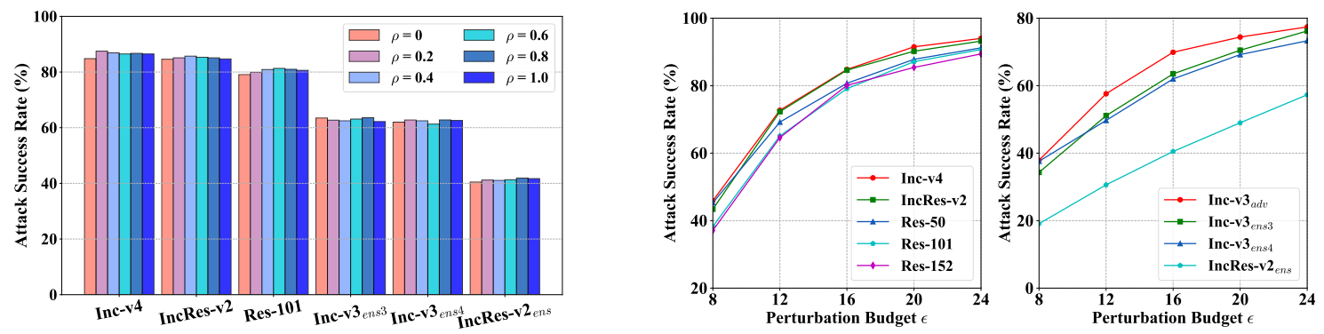
对抗样本具有跨模型的黑盒攻击能力,利用输入变换可进一步提高这种攻击性。由于目前方法仅依赖于空域的输入变换,忽略了图像的频域信息,限制了迁移攻击的性能。为此,论文提出了基于频域的混合频率输入(MFI)。在计算梯度的过程中考虑来自各类图像的高频分量,缓解了对抗样本对源模型的过拟合。通过累积这些高频分量,在每次迭代中获得更稳定的梯度方向,从而发现更好的局部极大值,增强可转移性。论文从学术研究的角度研究了新型的攻击方法,以攻促防,以攻助防,对于产学界进一步认识人工智能模型的潜在安全风险及探索新的防御方法具有积极意义。研究工作得到了国家重点研发计划项目、国家自然科学基金重点项目、浙江省自然科学基金重点项目基金的资助。(大数据科学系 康明 学科办 陈璟)





